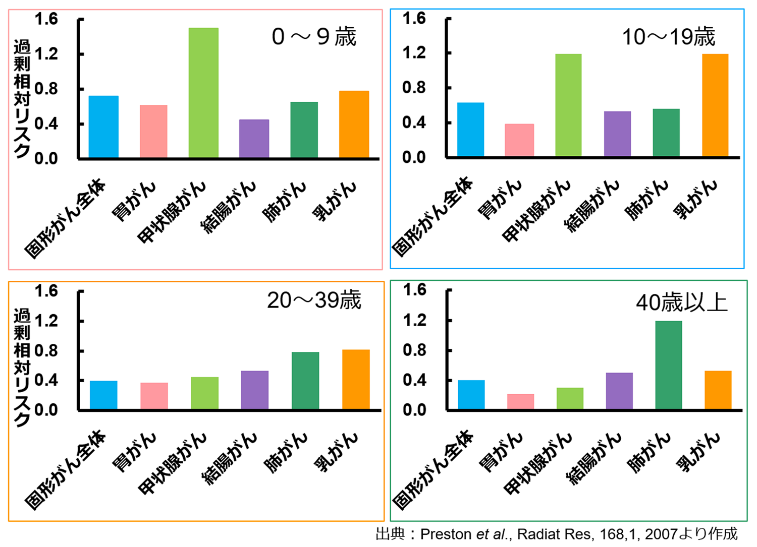
この図は、原爆被爆者の調査結果を用いて、70歳時点での、1グレイ当たりのがんの過剰相対リスク(被ばくしていない集団に比べ、被ばくした集団ではどのくらいがん発症のリスクが増加するかを表す値)を示しています。
被ばく時年齢によって、リスクが高いがんの種類に違いがあることが分かります。
(関連ページ:上巻P99「相対リスクと寄与リスク」)
本資料への収録日:2013年3月31日
改訂日:2019年3月31日
ご案内このページには最新版があります。
最新版はこちら
この図は、原爆被爆者の調査結果を用いて、70歳時点での、1グレイ当たりのがんの過剰相対リスク(被ばくしていない集団に比べ、被ばくした集団ではどのくらいがん発症のリスクが増加するかを表す値)を示しています。
被ばく時年齢によって、リスクが高いがんの種類に違いがあることが分かります。
(関連ページ:上巻P99「相対リスクと寄与リスク」)
本資料への収録日:2013年3月31日
改訂日:2019年3月31日