Quality of the Environment in Japan 1996
Part II
(2) Promotion of the Use of Environmentally Friendly Products and Services
In order to change the social economic system to one that re-duces the environmental loads, it is important to consider the environ-ment at the time of the consumption of products and services. For this reason, even in the Basic Environment Law, promoting and populariz-ing products that contribute to reducing the environmental loads have been positioned as an important national measures.
In order to promote the popularization of products that contrib-ute to environmental conservation, at the Environment Agency, the guidance and fostering of the Eco-mark system has been carried out from FY 1988. As of th.. end of December 1995, the number of product categories that are subject to the Eco-mark was 69 and the number of approved products was 2,105. In FY 1995 the report by the "Advisory Group Concerning New Directions of Environmentally Friendly Prod-ucts" was received and, in addition to making it so that anyone can pro-pose Eco-mark product categories, review of certification standard was carried out so as to take into consideration the environmental loads across the life cycle of the production, consumption and disposal of a product. Furthermore, in order to promote cooperation with the other eco-labels governed by various foreign countries, support was provided, such as the offering of an executive office function to the Global Eco-labeling Network, an assembly of organizations implementing the eco-labeling in various countries.
Furthermore, support was given to the "Green Purchasing Net-work" formed in February 1996 in order to promote taking the environ-ment into consideration when enterprises, government organizations and consumers purchase products (green purchasing).
In order to spread products that impose a lower burden on the environment, it is important to establish methods to evaluate environ-mental burden by products. For this reason, investigations and informa-tion offering are being conducted on the Life Cycle Assessment (LCA), which is a method of quantitatively, scientifically and objectively under-standing and evaluating the burden on the environment due to prod-ucts in a series of stages, production, consumption and use, and disposal, while considering the progress of studies of standardization by the In-ternational Organization for Standardization (ISO).
(3) The Promotion of Activity for the Purpose of Environmental Conservation by Means of Private Groups, etc.
In recent years, centering on Europe and the United States, van-ous activities for the purpose of global environmental conservation by means of NGOs have become active. NGOs in Japan that are developing environmental conservation activities such as afforestation and the pro-tection of wildlife - not only environmental conservation domestically, but also in foreign countries (mainly in developing countries) are growing, and the concern at all levels of society with respect to these ac-tivities has also increased. For global environmental conservation, this kind of immediate action by means of the participation of a wide range of citizens and grass roots environmental cooperation is extremely im-portant, particularly in Japan, because the strengthening of the activi-ties of private groups (what are called the NGOs) is necessary for both strengthening the support for developing countries and for reviewing socioeconomic activities, and supporting these activities is becoming a very urgent task.
In the Basic Environment Plan decided by the Cabinet in Decem-ber 1994, the "promotion of specific actions for environmental conserva-tion" was mentioned as the main policy for the independent, construc-tive actions of various actors, and carrying out "support for the activi-ties of private groups" was decided upon.
In the Environment Agency, in addition to implementing the "Environmental Conservation Activity Research Group" in Yamagata Prefecture in KY 1995. the collection and offering of related information was carried out in order to support policies promoting the environ-mental conservation activities of local public entities by means of the re-gional environmental conservation foundation, etc.
The Environmental Corporation, by means of the "Japan Fund for Global Environment," established government financing and private funds in May 1993, assisted activities such as afforestation and recycling carried out in Japan by private Japanese groups and activities such as afforestation and wildlife protection carried out in developing countries by Japanese and foreign private groups, and implemented the survey research and information offering necessary for the promotion of these activities.
Of these , concerning financially assisted projects in FY 1995, with respect to a total of 360 requests from various types of private groups, assistance decisions w. re made on 164 projects for a total of about 650 million yen.
Furthermore, in the NGO Project Subsidy System and grant aid for grass-roots groups by the Ministry of Foreign Affairs, the contribu-tions by means of postcards and in the Postal Savings for International Voluntary Aid System In of th Ministry of Posts and Telecommunica-tions, the environmental conservaltion activities of private groups are being considered as recipients of these funds, and support is provided.
(4) Promotion of the Implementation of Pollution Prevention Management Systems in Business
In order to prepare pollution prevention systems in factories, the "Law Concerning the Preparation of Pollution Prevention Organizations in Specified Factories" went into effect in Junc 1971, and from Septem-ber 1972 in specially designated factories it was made obligatory to as-sign a pollution control manager to manage the work related to pollu-tion control, And a pollution control operator who has the necessary technical knowledge and skill related to pollution control, and pollution control organizationsin about 20,000 specially designated factories is be-ing developed.
According to a survey of prefectures, the state of the assignment of pollution control managers as of the end of March 1993 was about 24,0(X) pollution corntrol managers (including deputies) and about 39,000 pollution control operators (including deputies).
Furthemore, a national examination and short training course for the approval of qualifications were implemented in order to obtain the qualifications of a pollution control operators according to this law, and the total number of qualified persons up to the present is 447,578.
A. National Examination for Pollution Control Operator
In th Ministry of International Trade and Industry the Pollution Control Operator National Examination has been given every year since KY 1971 and the national examination of FY 1995 was given on 24 September 'and I October 1995. The number of persons that applied the examination was 25,950. The number of persons that took the examina-tion was 21,47 I he numb r of persons that passed was 4,221. Further-more, the number of persons that have passed up to 1995 is 243,278.
B. Short Training Course for Certification of Pollution (or trot Operator
In order to obtain the qualifications to be a pollution control op-erator, besides what was mentioned above there is the method of com-pleting a short training course for the approval of qualifications. This system allows persons with a certain amount of technical qualifications or persons with a certain academic background and practical experi-ence related to pollution prevention to take the course, and persons, who complete it are given the same kind of qualification as persons who passed the national examination. The number of persons who have com-pleted the short training course for the certification of qualifications up to 1995 is 204,300.
3. Environmental Conservation Measures of Local Public Entities
(1) The Systematic and Comprehensive Promotion of Environmental Conservation Measures in Regions
The basis of the creation of a sustainable society is the conserva-tion of the regional environments, and the local public entities play an important role. For this reason, it is expected that local public entities will comprehensively develop diverse policies in their respective re-gions while cooperating and collaborating with the nation and with their own businesses and residents, and that they will independently and con-structively decide on policies corresponding to the national and other in-dependent policies. These efforts would include establishing and offer-ing direction and objectives for measures corresponding to their re-gion's natural social conditions, developing th foundation, such as es-tablishing various systems and providing social capital, and promoting the actions of various constituencies. The necessary cooperation and collaboration with local public entities was already planned by the na -tion in FY 1995, so the role of local public entities can b smoothly and steadily realized. The policies of the nation concerning cooperation hav-ing to do with each individual item are as mentioned in each relevant place in this year's report, but various measures, such as the following, have been devised that are appropriate to comprehensively promoting environmental conservation measures in regions.
(i) In local public entities, in order to promote the conservation of the natural environment and the prevention of pollution in a unified manner, plans called "environmental management plans," etc., have been devised over some time. and the Environment Agency has as-sisted by giving technical and other support for the preparation of these plans. In this situation. on the national level, the Basic Environment Plan based on the Basic Environment Law, has been established by the Cabi-net, and in compliance with this, local public entities have also begun to enact basic environmental ordinances from a more comprehensive standpoint. In many cases the development of comprehensive regional environmental plans has been proceeding based on these regulations.
In FY 1995 as well, the Environment Agency established a place for the exchange of opinions and information among the persons in charge of the environmental plans, and closer collaboration between the National Government and the local areas has been arranged, such as laying the ground work for a decision on a handbook for developing comprehensive regional environmental plans that includes the partici-pation of persons in charge in local areas. Further, the Basic Environ-ment Plan Promotion Project Expenses Subsidy was established to sup-port pioneering initiatives undertaken independently by local munici-palities in order to achieve the objectives of the Basic Environment Plan.
(ii) In order to continuously and steadily implement projects in re-gions that will disseminate information about environmental conserva-tion so as to contribute to the inclusion of environmental conservation activities in daily life. etc., assistance was given in FY 1988 to each pre-fecture and ordinance-designated city concerning the establishment of regional environmental conservation funds, and such a fund was estab-lished in each area. The expansion of the respective funds was subse-quently planned at the level of the local public entities concerned. This fund has helped to prepare educational materials like supplementary readers and videos for schools, to establish a consultation window for re-gional environmental conservation activities, to dispatch environmental advisors and to support the practical environmental conservation activi-ties of regional residents' groups.
(iii) Various measures have also been devised for the measures un-dertaken by local public entities concerning wide-area environmental conservation that goes beyond the limits of an individual prefecture. For example, concerning the Osaka Bay seaside area, the first approval of an Osaka Bay Seaside Area Preparation Plan as part of city planning for Osaka was achieved in FY 1995, based on the "Osaka Bay Seaside Area Development Law" enacted in 1992.
(iv) Regarding the promotion of international cooperation concerning global environmental conservation by local public entities, the Environ-ment Agency, which supports such activities on the national level, car-ried out the "Asian Region Local Public Entity Environmental Initiative Promotion Project" with the cooperation of the International Council for Local Environmental Initiation (ICLEI). For two years beginning in FY 1994, this project investigated possible methods of environmental coop-eration between Japan's local public entities and local public entities throughout the Asian region to look for concrete possibilities. In KY 1995 its mission was fulfilled, and since FY 1996 model environmental cooperation projects have been carried out between Japan's local mu-nicipalities and local municipalities throughout the Asian region.
(v) A survey was carried out concerning the present state of meas-ures in local areas, as the basic data for considering the nation's future response to the possibility of local government entities taking the lead in putting into practice actions related to environmental conservation by consumers and businesses.
(2) Studying the Situation of the Local Environment
A. System for Studying the Situation of the Local Environment
In order to promptly and accurately study information related to concrete environmental problems that are occurring throughout the country, the Regional Administrative Inspection Bureaus, the Adminis-. trative Inspection Branches and the Administrative Inspection Offices that are the regional branch offices of the Management and Coordina-tion Agency (hereafter called the "regional bureaus, etc.") divide the du-ties of the preparation and collection of data and surveys related to the work administered by the Environment Agency. At present. 41 full-time inspectors are stationed at the regional bureaus, etc., and the Director-General of the Environment Agency directly supervises the heads of the regional bureaus, etc., of the Management and Coordination Agency concerning the work of these inspectors.
Further, in connection with their work, in the Environment Agency four environment inspectors are placed in the General Affairs Division of the Director-General's Secretariat. They manage contact and coordination with the regional bureaus, etc. ; investigate regarding the regional environmental situation concerning the work administered by the Environment Agency ; collect and arrange data ; and consult work concerning environmental monitoring and the administration of which they are in charge.
B. Studying the Regional Environmental Situation in 1995
(A) Collection of Information by the Inspectors of the Regional Bureaus, etc., of the Management and Coordination Agency
In FY 1995 there were 26,446 regional environmental information reports made to the Environment Agency from inspectors who were regularly observing the local environmental situation. The fields that had many reports were items related to the protection of nature and wildlife, items related to the influence of various types of development on the environment, items related to waste and items related to meas-ures for developing a pleasant environment.
(B) Information Collection from Environmental Monitors
In order to study the opinions and demands of the nation con-cerning environmental problems, 1,500 persons nationwide are en-trusted with monitoring the environment. The occasional opinions and demands reported by these environmental monitors are utilized in drafting the plans of the various policies of the Environment Agency. Further, questionnaires concerning "the direction of new environ-mental administration" and "maintaining a sound environment" have been implemented, targeting the environmental monitors.
(C) Collection and Arrangement of Data
Most of the data collected and arranged by inspectors falls under the following categories.
a. Regional Environmental Information, etc.
(i) Nationwide environmental situation Information concerning en-vironmental problems which is classified and arranged by prefecture.
(ii) Environmental conservation policies Information which is classi-fied and arranged by environmental conservation policies implemented at the independent expense of prefectures, etc.
b. The State of the Enforcement of Laws
Information concerning the respective state of the enforcement of the Air Pollution Control Law, the Water Pollution Control Law, the Noise Regulation Law, the Vibration Regulation Law and the Offensive Odor Control Law in prefectures and ordinance-designated cities.
c. Other Data Collection
Besides the above information collection, etc., in order to continu-ously study the actual situation of the dispersion of empty cans, a na tionwide survey was implemented through the regional bureaus, etc., that targeted about 700 cities, wards, towns and villages.
(3) Environmental Conservation Countermeasures of Local Public Entities
Concerning environmental conservation countermeasures car-ried out by local public entities, it is important to devise comprehen-sively measures taking account of the needs of the regional residents, the natural characteristics of a region, the state of the environment and socioeconomic trends. In order to promote regional environmental con-servation countermeasures systematically, many local public entities are enacting laws and ordinances relating to environmental conserva-tion, and regional environmental plans are being decided upon.
Under such laws and ordinances, local public entities carry out measures such as waste and recycling countermeasures, investigation of the institutionalization and promotion of environmental impact evalu-ations, promotion of the introduction of energy generation that pose a slighter burden on the environment, implementation of guidance for the rational use of automobiles, promotion and popularization of low pollu-tion vehicles, preparation of the traffic infrastructure, promotion of countermeasures to the waste water of daily living, countermeasures to the noise of daily life, promotion of afforestation and conservation of greenery by means of the trust system, etc.
Concerning these measures, other than each region's independ-ent funds, the necessary national subsidy is granted for each project. In FY 1995 regional fund plan, 233 billion yen was appropriated for environ-mental conservation countermeasure expenses and the enhancement of regional grant tax measures, etc., is being devised.
A. The Present State of the Organization and Staff in Charge of Environmental Administration
Concerning prefectures and ordinance-designated cities, as of 31 March 1995, 7,308 staff members were in charge of pollution and related topics (exclusive of measures related to waste products and sewer sys-tems. as with cities, towns and villages), and 1,825 staff members were in charge of the protection of nature.
Further, concerning cities, towns and villages, as of 31 March 1995, 381 cities, towns and villages had departments, bureaus and divi-sions (offices) exclusively concerned with pollution and related topics, and outside of these, 1,303 cities, towns and villages had established per-sons (groups) in charge of pollution and related topics, or had personnel assigned to pollution and related topics. These cities, towns and villages account for 52% of all cities, towns and villages.
B. The State of the Enactment of Laws
Local laws by public entities related to environmental conserva-tion are important for the steady promotion of regional environmental conservation measures. A movement to enact basic environment laws within local public entities has been emerging, particularly since the Ba-sic Environment Law was enacted in November 1993. Laws related to environmental conservation can be divided roughly into the four cate-gories of;
(i) basic environment laws,
(ii) pollution prevention laws,
(iii) laws conserving the natural environment (nature protection), and
(iv) other laws related to environmental conservation (including envi-ronmental impact evaluation laws).
A basic environment law means a law that stipulates the most basic matters related to the environmental conservation measures of lo-cal public entities following the concept of the Basic Environment Law. Such laws are enacted in 27 prefectures and in 8 ordinance-designated cities as of the end of FY 1995.
Pollution prevention laws and laws for the conservation of the natural environment (nature protection) each show the basic attitude of local public entities in the area of pollution prevention and the area of conservation of the natural environment As of 31 March 1996, among prefectures and ordinance-designated cities, 51 had enacted the former and 50 had enacted the latter.
Other laws related to environmental conservation include envi-ronmental impact evaluation laws and laws to prevent the littering of empty cans, etc.
Further, the state of enactment of laws related to the environ-mental conservation of cities, towns and villages is seen in Table 7-1-2.
Table 7-1-2 Number of Municipalities adopting Environmental Conservation-related Ordinances

C. The State of Establishment of Comprehensive Regional Environmental Plans
Taking the opportunity of the enactment of the Basic Environ-ment Law and the establishment of the Basic Environment Plan, in local public entities, progress is also being made on establishment of compre-hensive environmental plans that clarify the basic principles concerning the environment As of the end of FY 1995, 33 prefectures and 10 ordinance-designated cities have established the plan.
D. The State of Concluding Pollution Prevention Agreements
The number of pollution prevention agreements concluded be-tween October 1993 and December 1994 was about 2,200, and the par-ties to these agreements as classified by type of industry are listed in Table 7-1-3. The industry types classified as "others," which were cen-tered on the tertiary sector of the service industry, and not just secon-dary industry types, comprised about 400,6.
Residents participated as parties to 189 of these agreements, and as observers to 153 of these agreements.
Some of the reasons why pollution prevention agreements were concluded include;
(i) to be able to appropriately carry out the detailed pollution pre-vention countermeasures that correspond to the geographical and so-cial conditions of the relevant region, in addition to countermeasures based on law;
Table 7-1-3 Number of Businesses Signing Pollution Prevention Agreements by Industry (between local government and private corporations)

Note: Agreements signed between 1 October 1993 to 31 December 1994
Source: Environment Agency
(ii) businesses are also aware that obtaining the approval of the re-gional residents is necessary for locating a business or the harmonious implementation of the enterprise's activity.
E. Assistance with Respect to Establishing Pollution Prevention Facilities
In FY 1994, the actual number of loans extended to support the independent pollution prevention facilities of local public entities was about 1,000, for a total amount of about 9,674 million yen.
The main facilities financed were water pollution prevention fa-cilities, air pollution prevention facilities and noise countermeasure fa-cilities.
In FY 1994, there were about 15,000 cases of assistance to local public entities, accounting for about 4,560 million yen, with respect to pollution prevention facilities.
F. Pollution Countermeasures Expenses
In FY 1994 the amount disbursed by local public entities for pol-lution countermeasures (including the amount related to local public en-terprises) totaled 5,949 billion yen (1,437.4 billion yen to prefectures and 4,511.6 billion yen to cities, towns and villages). This was about equal to the previous year, with a 0.1% increase amounting to 3.1 billion yen (a decrease of 53.6 billion yen to prefectures and an increase of 56.7 billion yen to cities, towns, villages). (Table 7-1-4)
Table 7-1-4 Number of Businesses Signing Pollution Prevention Agreements by Industry (between local government and private corporations)

Note: Agreements signed between 1 January, 1995 to 31 March, 1996
Source: Environment Agency
When the details of the expenses for pollution countermeasures are examined, pollution prevention project expenses amounted to 5,396.6 billion yen (about 90.7% of the total), with the next largest cate-gory being general expenses at 166.3 billion yen (about 2.8% of the total).
Further, when the details of the expenses for pollution preven-tion projects are examined, sewer system preparation project expenses amounted to 4,154.1 billion yen, occupying the highest percentage of the total pollution countermeasures expenses at 69.8%, with the next larg-est category being waste product treatment facility preparation pro-jects at 968.2 billion yen (about 16.3% of the total).
4. Promotion of Environmental Training
In the course of developing the environmental policies stated in the Basic Environment Plan and the Basic Environmental Law arid pro-moting effectively environmental administration, one of the most impor-tant tasks is to improve the capability of the personnel of the national government agencies and local governments..
For this reason, the Training Institute for Environmental Pollu-tion Control was established in the Environmental Agency in March 1973. In July 1990, it was reorganized as the National Environmental Training Institute in the National Environmental Research Institute. The Institute has come to strive for the enhancement and strengthen-ing of training related to various types of environmental issues, target-ing the personnel of the national government agencies and local govern-ments.
Since FY 1995, a training course related to the Basic Environment Plan was newly established, and a total of 28 courses -20 for environ-mental administration and 8 for environmental analysis- have been provided every year. Their content has been improved regarding the development of environmental administration and the demands of local governments.
This strategy has kept them effective, The number of trainees who participated in FY 1995 was in total 1,269 (1,013 administrative per-sonnel and 256 analysis-related personnel). The cumulative number of persons by the end of FY 1995 amounted to 24,728 (20,211 administra-tive personnel and 4,517 analysis-related personnel).
Furthermore, according to the output of the survey conducted by the Environmental Training Institute, many local governments found it necessary to provide environmental training coping with the rapid increase of social concern on the environmental issues, including global issues and expansion of subjects which they should cover. There-fore, the Environmental Training Institute has started compiling a data-base on environmental training in order to support such local govern-ments.
Moreover, the Institute is going to formulate a series of training courses for Japanese experts who will be engaged in international envi-ronmental cooperation. Accordingly, the facility is also going to be ful-filled in training them.
Section 2. Pioneering Action Measures Directed towards Environmental Conservation by the Government as a Business Operator and a Consumer
1. Deciding on the Initiative Implementation Plan
The government, besides being an administrative entity, bears in its economic activities both the aspect of a normal business operator and that of a consumer. In order to independently and aggressively re-duce the burden on the environment associated with the economic ac-tivity of the Government as this type of business and consumer, based on the Basic Environment Plan, in June 1995 a Cabinet Decision was made "concerning an action plan to take the initiative in implementing measures directed towards environmental conservation by the govern-ment as a business operator and consumer" (hereafter called the "Ac-tion Plan for Greening Government Operations").
Further, examples of specific, detailed measures in order to im-plement this plan were agreed upon at the Environmental Basic Plan Promotion Related Ministry and Agency Conference, composed of one prefecture, 21 ministries and agencies and one committee, at the same time as this plan.
2. Summary of the Action Plan for Greening Government Operations
The Action Plan for Greening Government Operations is de-signed so that the various national administrative organs (hereafter called the "related ministries and agencies") themselves will implement actions related to environmental conservation at the time of their eco-nomic activities and bring about a reduction of the burden on the envi-ronment, and it anticipates that the nation's people, businesses and local public entities will be able to carry out independent and aggressive actions.
The composition of the Action Plan for Greening Government Operations is seen in Table 7-2-1, and since the related ministries and agencies have determined the measures and objectives to be carried out jointly, adding the stipulations concerning managing the promotion of the implementation of the plan to the measures and objectives of the four areas stipulated by the Basic Environment Plan, it is composed of five parts in total
Table 7-2-1 Elements of Greening Government Operations
○ Environmental consideration in the purchase and use of goods and services
○ Environmental consideration in the construction and management of buildings
○ Environmental consideration in other administrative operations
○ Implementation of training for employees to raise environmental awareness
○ Development of systems for promoting and reviewing the state of implementation of the Green Government Operations
Table 7-2-2 Major Goals for Greening Government Operations
○ To reduce the amount of virgin pulp used in paper that is purchased and used to 80% or less of current levels by FY 2000.
○ Bearing in mind the goal of raising the ratio of low-emission vehicles to all vehicles in Government possession for regular administrative activities to 10% by FY 2000, to take the lead for planned introduction of low-emission vehicles based on the study results concerning possibilities for introducing low-emission vehicles.
○ To prevent the amount of paper used from exceeding current levels in FY 2000 when placing orders.
○ To encourage restricting wastes by up to 10% of the waste volume (generated in building construction ) currently projected for FY2000 when placing orders.
○ To reduce electricity used per unit of office space to 90% or less of current levels by FY 2000.
○ To reduce water used per unit of office space to 90% or less of current levels by FY 2000.
○ To reduce fuel used in the Government vehicle fleet to 90% or less of current levels by FY 2000.
○ Bearing in mind the goal of reducing fuel volumes used in energy supply facilities, etc.,by 10% of current levels by FY 2000, endeavor toward a planned, controlled reduction while taking into consideration any rational changes in fuel use that can be expected in responding to yearly weather conditions.
○ To reduce wastes (wet weight) generated from all Government offices to 75% or less of current levels by FY 2000.
○ To reduce the amount of combustible waste in the waste generated from all Government offices to 70% or less of current levels by FY 2000.
○ Based on the Action Program to Arrest Global Warming (decided on 23 October, 1990 by the Council of Ministers for Global Environment Conservation), to control both direct and indirect emissions of carbon dioxide which leads to global warming, that are generated during administrative operations till FY 2000.
Note: The current level is based on the levels of FY 1995. In cases where the relevant ministries and agencies were already engagged in implementation of similar plans in a fiscal year before FY 1995, and the performance for that fiscal year can be as-certained, then current levels will be based on levels for the said fiscaI year.
In this plan various measures and objectives have been decided, including quantitative objectives, and the main objectives among them are set forth in Table 7-2-2.
3. Promotion of the Action Plan for Greening Government Operations
(1) Harmonization of the Action Plan for Greening Government Operations
The Action Plan for Greening Government Operations antici-pates that pioneering measures taking into account the purpose of this plan will also be carried out in local public entities, organizations con-cerned with the Government, the public-service corporations concerned and businesses, besides the actions of the nation itself. For this reason, in order to arrange to make the plan widely known, the Environment Agency, in addition to notifying prefectures, ordinance-designated cities, cities, towns and villages, the concerned public-service corporations, and economic groups, held explanatory meetings, by block, targeting economic groups, cities, towns and villages and prefectures at seven places nationwide.
(2) Preparation of a Promotion System and an Inspection System
In order to promote the plan it was stipulated that each related ministry and agency should prepare and implement promotion and in-spection systems following this plan, and as of the end of 1995 promo-tion and inspection systems had been prepared in 28 ministries and agencies.
(3) The Present State of the Main Measures
It was decided that each ministry and agency should study the state of the implementation of the Action Plan for Greening Govern-ment Operations by means of the appropriate units, such as department or branch office, compile the results of the related ministries and agen-cies every year and publicly announce them by means of an appropriate method such as the White Paper on the Environment.
The main measures carried out by each ministry and agency in FY 1995 were as follows.
A. Taking Environmental Conservation into Consideration When Purchasing and Using Goods and Services
The use of recycled goods such as recycled paper, the introduc-tion of low-pollution vehicles and other products that are gentle on the environment, and the efficient use of automobiles have been promoted.
(A) The introduction of compressed natural gas automobiles (Minis-try of Transport)
(B) The deployment of electric automobiles (Environment Agency, Ministry of Posts and Telecommunications)
(C) The introduction of water-conserving washing machines (Minis-try of International Trade and Industry)
B. Taking Environmental Conservation into Consideration When Building and Managing Buildings
Environmental considerations in buildings (the effective use of energy and water such as using sunlight, the recovery and reduction of the use of specially designated fluorocarbons, etc., afforestation of sur-roundings and roofs), recycling and reuse of construction by-products in construction work and rationalization of the use of tropical wood fram-ing have been promoted.
(A) The stipulation and implementation of matters that take envi-ronmental conservation into consideration in a standard specification form that stipulates the materials to be used and the building methods used in construction work related to the preparation of schools and other national facilities (Ministry of Education)
(B) Switching the heat source of air conditioners to gas (Ministry of Foreign Affairs, Ministry of Health and Welfare, Ministry of Construc-tion, Imperial Household Agency)
(C) The introduction of hot water supplying facilities that use solar heat and heat generated from waste (Ministry of Posts and Telecommu-nications)
(D) Implementation of a Construction By-products Model Project in order to investigate appropriateness at the time of use, as well as plan-ning education about and popularizing the use of recycled materials in construction work (Ministry of Construction)
(E) Chipping branches and leaves pruned from trees on land under government jurisdiction, and composting fallen leaves and spreading it on forest land (Imperial Household Agency)
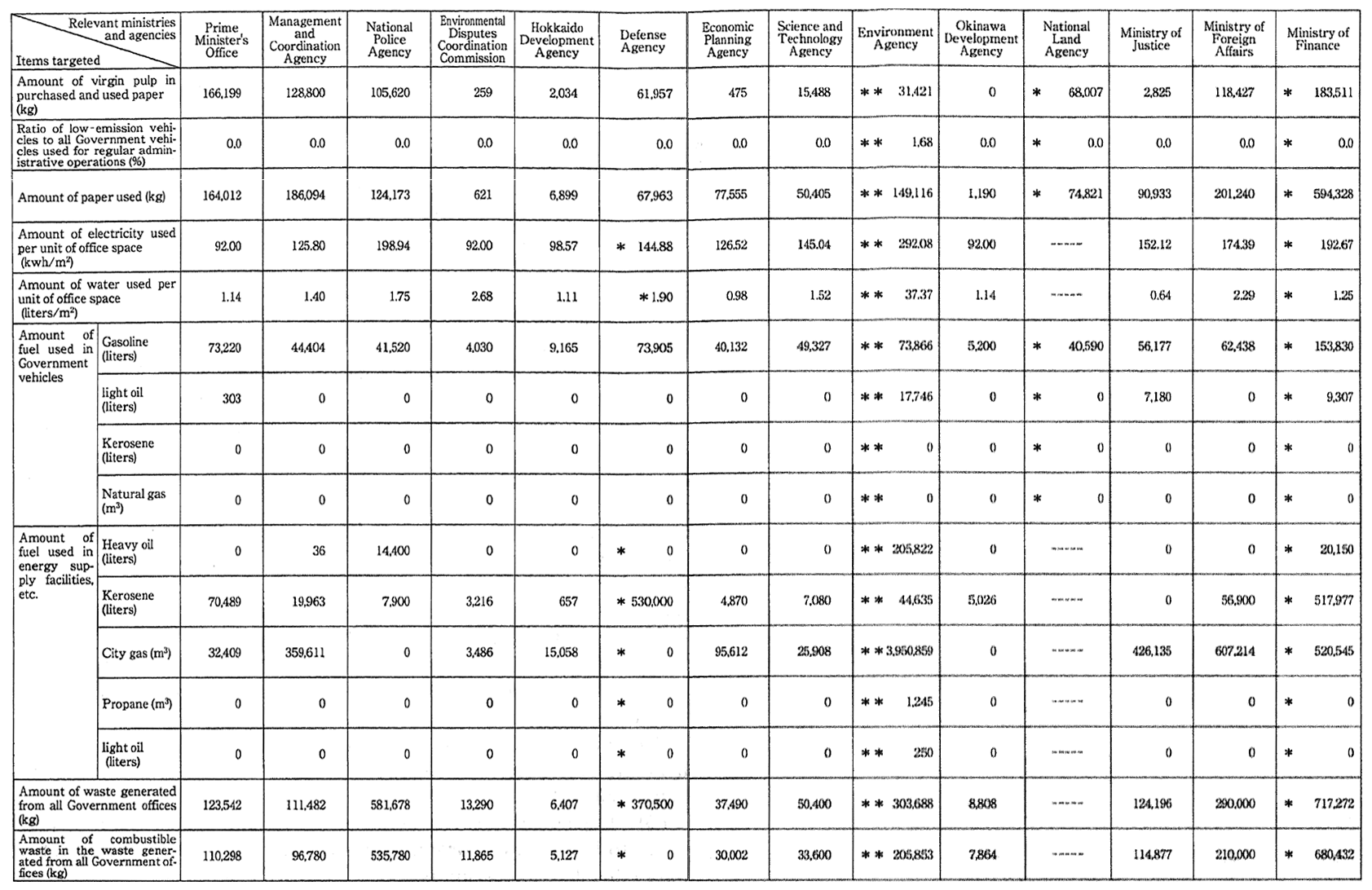
Table 7-2-3 State of Usage, etc., in FY 1995 Relating to the Numerical Target of Government Operations Target of Green Govenment Operations

(Table 7-2-3 contd.)

Notes:1. Figures in the table represent the best possible estimates of amounts of targeted items by each ministry and agency in FY 1995.
2. The figures listed are actual figures for each ministry and agency and do not take into account the number of personnel or scale of facilities involved.
3. Figures with a double asterisk ** are for all facilities and institutions in the ministry or agency for which information is available. Figures without asterisks refer to the figures for the main office of each ministry or agency alone.
C. Other Environmental Conservation Considerations at the Time of Administrative Work
Restraining the amount of energy used, separate collection of trash that contributes to the promotion of recycling and reducing the amount of waste products have been promoted.
(A) Promoting the elimination of paper and planning the provision of electronic communication such as through LANs (Environment Agency, National Land Agency, Ministry of Foreign Affairs, Ministry of Educa-tion, Ministry of Transport, Ministry of Posts and Telecommunications)
(B) Installation of sound-generating equipment in toilets, which simulates the sound of running water to mask the sounds of bodily func-tions, in order to rationalize the use of water (Science and Technology Agency)
D. Implementation of Training, etc., for Personnel Related to Environmental Conservation
The individual environmental conservation activity of personnel was promoted by utilizing vacations and offering information and the opportunity for environmental training to personnel.
(A) To promote education concerning water conservation, double-sided copies and all other measures under the Action Plan for Greening Government Operations posters are put up inside the agency (Environ-ment Agency)
Further, regarding items that have a quantitative target men-tioned in the Initiative Implementation Plan, the results compiled by each ministry and agency, to the best of their ability, concerning the state of the amounts used in FY 1995, are as follows. (Table 7-2-3)
Section 3. The Measures of National and Local Public Entities in the Main Socioeconomic Areas
1. Production, Sale, Consumption and Disposal of Products
(1) Overall Measures
In the related ministries and agencies, surveys, research and in-formation offering are being carried out, taking into consideration the state of the investigations for standardization in the International Or-ganization for Standardization (ISO), as well as methods to quantita-tively, scientifically and objectively study and evaluate the burden on the environment due to products in the production-consumption-use-disposal series of processes (Life Cycle Assessment, or LCA).
In order to promote the further diffusion of environmental con-servation type products, keeping in mind the trend, such as standardi-zation in the ISO, towards an eco-label that recommends environmental conservation type products, in addition to promoting the introduction of evaluation methods that take the life cycle into consideration, attempts were made to enlighten consumers and businesses about them and to popularize them.
Various waste product and recycling countermeasures were pro-moted in order to encourage the appropriate treatment of waste prod-ucts and the appropriate recycling, and to restrain the generation of waste products.
In order to promote measures suitable for preventing global warming, consumption behavior in homes and offices. etc., was studied, a model of production and consumption concerning lifestyle was con-structed and, by following the subsequent actions and product selection, carbon dioxide discharge control countermeasures were studied.
Further, in June 1995, the Initiative Implementation Plan was de-cided by the Cabinet. It sets forth the principle that the nation itself, as a business and as a consumer, should promote taking the environment into consideration at the consumption and abandonment stages, such as by striving to reduce the amount of virgin wood pulp to a probable level of 80% or less of that used at present by the year 2000, and to reduce to a probable level of 74% or less of the present weight (wet weight) of the waste discharged from each office by the year 2000.
(2) Environmental Conservation Measures Concerning the Agriculture, Forestry and Fishery Industries
Concerning agriculture, in order to plan the national develop-ment of environmental conservation type agriculture that takes into consideration reducing the burden on the environment, due to the use of agricultural chemicals and chemical fertilizers, through soil develop-ment, while considering harmonization with productivity and utilizing the substance circulation function of agriculture, in addition to prepar-ing facilities to put it into practice and to decide on policies at the city, town and village levels, regional base facilities were prepared in order to deepen the understanding of environmental conservation type agri-culture in order to arrange the high level utilization of fertilizer derived from the livestock industry, in addition to assuring the effectiveness of the fertilizer and the quality characteristics of this fertilizer.
Further, in addition to devising the appropriate treatment of live-stock urine and feces, in collaboration with the land cultivation sector, a facility for the processing and use of livestock feces and urine and a cen-ter for the comprehensive use of accumulated barnyard manure, that adjusts the supply and demand of accumulate barnyard manure, were provided.
Further, conservation of the natural environment, such as of green zones and environmental conservation forests, has been pro-moted at the time of the comprehensive preparation of the production foundation.
In the matter of forestry, in addition to the promotion of the ap-propriate disposition and maintenance of conservation forests, based on the forest plan system, besides promoting further the management of sustainable forests, the preparation of appropriate forests has been pro-moted such as of multi-layer forest management and forest manage-ment that nurtures natural forests.
In the matter of marine products, in order to promote the cultiva-tion and nurture fishing industry, as the "Development of Ocean Farms," in addition to implementing the dredging of sludge and the con-servation of seaweed places and tidelands in coastal areas, ecosystem conservation type seeds and sapling production technology develop-ment projects have been newly implemented so as not to cause geneti-cally harmful influences on the fish that live in the natural world due to released fish. And, in order to reduce the burden on the environment due to breeding, in addition to implementing the development and test-ing of the appropriate treatment technology for the accumulated matter of fish farms, such as food residue, the development and investigation have been carried out of species, targeting breeding that does not sup-ply food and that supplies a reduced amount of food. Meanwhile, in or-der to promote the "resource management type fish industry," in addi-tion to carrying out surveys and studies concerning the actual states of the uses and the conditions of the resources, projects have been imple-mented in order to prepare voluntary resource management systems based on the agreements of the fishermen who are the users of the re-sources.
(3) Environmental Conservation Measures Concerning the Manufacturing Industry
In the matter of manufacturing, for example with respect to the iron and steel industry and the paper pulp industry, besides carrying out pollution countermeasure guidance, environmental preparation pro-jects have been carried out for the purpose of promoting the saving of resources and the recycling of resources. Concerning the pollution coun-termeasures of small and medium enterprises, in addition to studying the actual situation, the research and development of the small and me-dium enterprises themselves has been supported.
In the food industry, at the industrial level, the following have been promoted: recycling the livestock residue discharged from the meat product manufacturing industry; increasing the efficiency of the use of the by-products of soybean processed food products (soybean curd refuse) and the water and sludge discharged from food products factories; and, the development of a system to evaluate the environ-mental burden of food products from the production of the products through their consumption and abandonment. At the distribution stage, a recycling system in the food product distribution industry was de-cided on, countermeasures to animal and vegetable residue such as making it into compost and feed were promoted and food product waste treatment facilities that treat the food product residue of fish intestines and bones were devised. At the consumption stage, seminars were held and manuals were prepared that are suitable for regional readers with the objective of promoting measures directed at eating behavior that takes into consideration the environment of the consumer, the demand for waste edible oil was developed and an effective recycling system for PET containers was developed, etc. Further, through these various stages, as common, basic countermeasures, the comprehensive study of environmental countermeasures, the offering of recycling information, the preparation of promotion guidance systems and food product con-tainer recycling countermeasures, etc., were carried out.
Further, in order to reduce the environmental burden in the food product industry, the development of resource reclamation technology that uses the activity of organisms and the development of waste prod-uct recycling technology were implemented.
(4) Environmental Conservation Measures Concerning the Construction Industry
In the construction industry, in addition to deciding on guidelines to prevent global warming concerning buildings such as residences, sur-veys and studies have been similarly carried out concerning the way environmental actions should be dealt with concerning the entire con-struction industry as well.
2. Supply and Consumption of Energy
Energy is involved in every aspect of economic activity. Because various burdens on the environment arise along the course from its sup-ply to its consumption, the Action Program to Arrest Global Warming based on the Air Pollution Control Law, etc., has promoted the forma-tion of an energy supply structure with a slight burden on the environ-ment and, in addition to appropriately implementing regulatory meas-ures concerning the discharge of pollutants, etc.. has promoted meas-ures directed at improving the efficiency of energy consumption.
In order to form an energy supply structure that imposes less burden on the environment, in addition to aggressively promoting the improvement of energy efficiency in the energy conversion project sec-tor. such as the city gas manufacturing sector and the electricity sector, and the introduction and development of new energy technology that imposes less burden on the environment such as fuel cells, co-generation, clean energy automobiles, power generation from waste and power generation from sunlight, keeping in mind the December 1994 decision on an "outline for the introduction of new energy," the Electrical Project Law was revised in April 1995 from the viewpoint of systematic environmental preparation concerning the promotion and popularization of co-generation, and the creation of new project types and the rationalization of conservation regulations were carried out. Further, the "Sewerage System Model Project That Uses Heat" that utilizes in regional air-conditioning the heat held by sewage and treated sewage water, the utilization of unused energy by means of support for the construction of a heat supply system that makes use of unused en-ergy and the development and use of atomic energy premised on the as-surance of safety have been promoted.
In June 1995 the Action Plan for Greening Government Opera-tions was decided by the Cabinet. It was decided to strive towards de-creasing the amount of electricity used per unit area of office space of the National Government itself, generally, to 90% or less that of the pre-sent level by the year 2000.
Further, in order to promote and popularize the solar energy generation system which is one of the influential technologies for the prevention of global warming because it does not discharge carbon di-oxide when generating electricity and uses sunlight that is a renewable energy, a manual was prepared in November 1995 that has put together the information necessary from technological and institutional aspects in particular, when a local public entity introduces the system to public facilities owned and managed by itself.
In order to promote measures directed at improving the effi-ciency of energy consumption in the various areas of industry, transpor-tation and public welfare, the promotion of measures such as the devis-ing and employment of a judgment standard based on the "Law Con-cerning the Rational Use of Energy" and the support of investment in energy saving equipment and technology development that contribute to saving energy, etc., were implemented. Further, in order to provide for the improvement of the efficiency of the energy consumption of the office equipment in the public welfare business sector, the "Energy Star Program" has started that affixes an eco-label to energy-saving office equipments. Further, study of the introduction of daylight saving time in the summer (summer time) has proceeded.
3. Transportation
Concerning environmental conservation countermeasures in the areas of transportation, the exhaust gas and noise regulations for each automobile have been steadily strengthened. Further, in addition to ap-propriately promoting guidance such as for the rationalization of auto-mobile use based on the Automobile NOx Law, in order to cope with the high concentration of air pollution in winter, besides implementing "sea-sonal air pollution countermeasures" restricting the number of freight vehicles coming in and out, December was made "Air Pollution Preven-tion Promotion Month" and educational activities have been imple-mented to popularize the prevention of air pollution such as broad ap-peals to the public to promote the use of public transportation.
Further, based on the Action Program to Arrest Global Warming in addition to promoting the formation of a traffic system that dis-charges little carbon dioxide, in order to devise the reduction of the bur-den on the air environment based on the December 1995 compilation of a document concerning "Policy of implementing countermeasures in ar-eas of serious road traffic noise" and the Automobile NOx Law, various measures were promoted such as the preparation of bypasses, in addi-tion to the planning to construct an efficient distribution system and to promote the selection of the appropriate transportation means through constructively employing rail and ocean transport in the trunk line transport between medium- and long-distance distribution centers.
(1) The Introduction of Low Pollution Vehicles
Concerning the popularization of low pollution vehicles by the na-tion, etc., the Cabinet decided the "Action Plan for Greening Govern-ment Operations" in June 1995 and, while bearing in mind that the per-centage of low pollution vehicles used for normal governmental work among the official vehicles owned by the Government should increase, generally, to 10% in the year 2000, it was decided to aggressively study the possibility of the introduction of low pollution vehicles into the pub-lic vehicle fleet and, keeping the results in mind, to make an effort for their ground-breaking, systematic introduction.
Further, in addition to supporting projects to introduce low pollu-tion buses into public or private bus companies, assistance was given to private companies by the Pollution-related Health Damage Compensa-tion Law.
(2) Traffic Management
Bringing about and maintaining a safe and harmonious traffic flow are important in reducing air pollution, noise and vibration due to automobile traffic. The following countermeasures have been devised that contribute to the prevention of road traffic pollution.
(i) In major roads, in addition to reducing the number of stops and starts at intersections by reviewing a variety of different traffic regula-tions, by upgrading traffic light controls and by developing traffic man-agement systems, the functions of gathering and providing traffic infor-mation such as systems for measuring and providing travel time to dis-perse and guide traffic have been expanded, thereby working to reduce noise and vibration and emissions of nitrogen oxides and carbon dioxide, a substance which causes global warming.
(ii) Centering on urban areas, the improvement of the environment is strived for by effectively implementing various traffic regulations. Specifically, in addition to designating passing sections in order to make large vehicles drive away from the center, and carrying out residential area regulations in order to ensure a good living environment, the switch from private vehicles to means of mass public transportation is being promoted; and, in order to restrict the total amount of automo-bile traffic, bus priority and exclusive use zones are being designated and a priority system for public means of transportation is being pre-pared.
(iii) In order to eliminate illegal parking that obstructs the smooth flow of traffic in cities, in addition to preparing a system to suppress ille-gal parking and a system to guide parking, measures that stress the highly pernicious, dangerous and annoying illegal parking, utilizing such measures as preventing an automobile wheel from moving, are being promoted.
(iv) With respect to driving with overload that is also a cause of air pollution, noise and vibration, control is being strengthened still more, such as by aggressively implementing thorough investigations of the underlying responsibility of shippers.
(3) Improvement of Road Construction and Preparation of the Roadside Environment
As a countermeasure from the aspect of road preparation, in ad-dition to smoothing and dispersing road traffic by means of systematic preparation of the road network, including bypasses and loop roads, the relief of traffic congestion and a reduction of the burden on the environ-ment is planned by providing parking spaces, parking space guidance systems, new traffic systems and intersection improvements. Further, research and development concerning road environmental conservation technology and research and development of a new distribution system that uses the space in the ground under roads is being carried out And, when preparing bypasses, etc., the required environmental impact evaluation is implemented and an effort is made to prevent environ-mental pollution.
Further, the improvement of road construction is being pro-moted such as the experimental introduction of road afforestation, ele-vated highway back surface sound absorption panels, low noise pave-ment and the preparation of environmental facilities zones and noise in-tercepting walls, etc.
As roadside countermeasures, policies, etc., based on the "Law for the Improvement of Areas along Trunk Roads" are being promoted. (Details in Chapter 5 Section 1, 5 c (b))
(4) Making Distribution Efficient
In order to devise solutions to the environmental problems of the vibration, noise and air pollution that originate in automobile traffic, along with countermeasures with respect to individual automobiles, ar-ranging the construction, etc.. of a highly efficient distribution system and the formation of a traffic system that generates small amounts of these kinds of environmental pollution are important.
From this viewpoint, the prevention of road traffic environ-mental pollution is planned for by devising measures to make distribu-tion efficient in the following way.
In the area of main line distribution, in order to promote the use of the appropriate means of transportation through the constructive employment of rail and sea transport in the transport between distribu-tion centers at middle and long distances, in addition to promoting the maintenance of apparatus, etc., for multi-modal transportation by means of favorable taxation measures and Japan Development Bank, etc., fi-nancing, financial support measures for the maintenance of the founda-tion necessary for the buildup of rail freight transport resources, the maintenance of RORO ships and container ships in coastwise service by making the operation of the cargo space adjustment system flexible, and measures such as the maintenance of coastal trade terminals as centers that cope with multi-modal transportation as well, are being de-vised at the same time.
In the area of distribution within regions, it is necessary to use truck transportation efficiently. For this reason, in addition to convert-ing from private trucks to business use trucks with good transportation efficiency, in transportation areas that private trucks are suited to as well, efficiency is being promoted such as optimizing distribution routes. Further, the maintenance of a joint collection and delivery system within regions and a joint load transportation by business trucks is be-ing promoted.
Further, responses to the increasing size of vehicles, studies con-cerning how to maintain distribution centers in the Transport Policy Council, Distribution Subcommittee, the concentration and proper dis-position of distribution centers such as truck terminals and warehouses and the maintenance of access roads to harbors and airports that are main distribution centers are being aggressively promoted and the con-struction of an effective distribution system is being devised.
4. Other
In order to promote contact with nature in spare time activities, in addition to carrying out a survey in order to prepare the foundation suited to the promotion of eco-tourism in Iriomote National. Park, a study was carried out in order to develop a system to promote the ac-tivity of coming into contact with wild animals. Further, in addition to carrying out the maintenance of the nature sightseeing field such as "Furusato" (hometown) nature roads and long distance nature paths, and nature learning centers such as "villages to come into contact with living creatures and your furusato (hometown)" and visitor centers, training courses to nurture personnel involved with the nature guide activities in these facilities were implemented.
Further, communication technologies fundamentally change the methods of production of business and the lifestyles of people. And be-cause a great environmental burden reduction effect can be expected along with it, the effect of communication technologies to reduce the burden on the environment was evaluated using the LCA (Life Cycle Assessment) method, assuming a "society in which telecommuting has been widely popularized" and which uses diverse information communi-cation systems.
Chapter 8. Promotion of Common Basic Policies Related to Environmental Conservation
The Basic Environment Plan stipulates the followings as com-mon basic policy measures for each objective of "circulation," "coexis-tence," and "participation" they are environmental impact assesment, regulatory measures, economic measures, social infrastructure develop-ment, surveys and research, observation and monitoring, technology promotion, development of environmental information, regional pollu-tion control program, environmental health measures, and handling of environmental disputes.
Section 1. Environmental Impact Assessment, etc.
1. Environmental Considerations in the Development of National Policies and Others
To forestall obstacles to environmental conservation, studies tak-ing consideration of the environmental conservation viewpoint ar con-ducted whenever national policies that are recognized as affecting the environment are developed or implemented. For this reason, whenever such plans as the Economic and Social Plan for Structural Reform or the Third National Land Use Plan (National Plan) are developed, mutual ad-justments are made between these plans and the Basic Environment Plan to ensure that anything concerning environmental conservation follows the basic direction laid down in the Basic Environment Plan, and surveys are promoted to ascertain how consideration for the environ-ment is being applied to the development and implementation of na-tional policies.
2. Environmental Conservation Considerations in the Planning Stages, etc., of Public Works Projects
Environmental surveys and studies are being pursued for th na-tion's public works projects, conducted for development of the social in-frastructure, with the latest knowledge being used in surveys and fore -casts to measure from the planning stages the impact that implementa-tion of these projects can have on the environment, and studies being conducted on what measures should be taken to prevent these impacts on the environment.
3. Implementation of Environmental Impact Assessment
Environmental impact assessment is conducted for projects that threaten to have a huge impact on the environment, and involve prior surveys, forecasts, and evaluations, followed by hearings conducted among local residents after the results are published, with the intent of adopting adequate environmental conservation measures. ft is one of the important methods for forestalling environmental pollution.
(1) Environmental Impact Assessment Based on Cabinet Decisions
Environmental impact assessment has been conducted in Japan ever since the Cabinet decided on "Environmental Conservation Meas-ures for All Kinds of Public Works Projects" in June 1972, taking the form of such individual laws as the Public Waters Surface Reclamation Law, of administrative guidance from the various ministries and agen-cies, and of ordinances and general plans of local public authorities.
Furthermore, the Cabinet passed on the "Execution of Environ-mental Impact Assessment" in August 1984, and established a General Plan for the Execution of Environmental Impact Assessment to serve as a set of unified rules for the large projects that the nation was in-volved with. Since the projects targeted by the General Plan are large in scale and could have a great impact on the environment, the nation either conducts the assessment itself or becomes otherwise involved through the issue of permits, etc., with the targeted projects being such area-development projects as roads, dams, railroads, airfields, reclaimed and drained land, and land redevelopment projects.
A summary of the procedures conducted by project developers is as follows (Figure 8-1-1).
(i) Concerning the impact that implementation of a target project could have on the environment, the project developer follows guidelines laid down by the minister responsible (the minister with jurisdiction over the target project) in consultation with the Director-General of the Environment Agency to conduct prior surveys, forecasts, and evalu-ations, and prepares a preliminary environmental impact statement.
(ii) The project developer publishes and opens for inspection the preliminary statement, and holds a presentation meeting.
(iii) The project developer endeavors to grasp the opinions of people with residences in the area relevant to the preliminary statement. The project developer hears the opinions of mayors c)f the relevant cities, towns, and villages and asks them to relay these opinions to the gover-nors of the relevant prefectures.
(iv) The project developer hears these opinions, adds t hem to the points for study listed in the preliminary statement, and then prepares an environmental impact statement, and publishes it and opens it for in-spection.
To ensure that these environmental impact assessments are re-flected in the government's administration, the ministries and agencies concerned examines the content of the statement regarding permits, etc., for target projects, and takes the results into its considerations. In this instance, the responsible minister is to ask the opinion of the Director-General of the Environment Agency concerning the environ-mental impact statement whenever items are recognized as requiring particular consideration.
The environmental impact assessment based on this implemen-tation procedure is implemented through the adoption of guidance and administrative measures handed down from the ministry or agency re-sponsible to the project developer. There were 29 environmental im-pact assessments whose procedures were completed during the single year of 1995, bringing the cumulative total to 292 cases (Table 8-1-1).
Table 8-1-1 Breakdown of the Environmental Impact Assessment Conducted according to the Implementation Scheme of Environmental impact Assessment

Notes : 1. Figures in parentheses are the grand total as of the end of FY1995.
2. For those projects that have implemented more than one environmental im-pact assessment per project, each case of assessment is included in the type of project, but only one case is included in the total.
3. Surface development means development that is carried out on the surface such as land readjustment project. etc.
Fig. 8-1-1 Procedure Specified in the Implementation Scheme for Environmental Impact Assessment

(2) Environmental Impact Assessment, etc., under Individual Laws,etc.
Environmental impact assessment based on such individual laws as the Harbors Law or the Public Waters Surface Reclamation Law have also been conducted for many years. A summary of the assess-ments implemented in FY 1995 is as follows.
(i) Harbor planning
Harbor plans based on the Harbors Law outline the basic shape of harbor development, utilization and conservation, and assessments are conducted of the implications that adoption of these plans can have on the environment. The Planning Committee of Council for Ports and Har-bors met four times in FY 1995, and conducted assessments of environ-mental impacts for the various harbor plans.
(ii) Surface reclamation of public waters
In granting permits for land reclamation, the Public Waters Sur-face Reclamation Law provides for prior studies of the impact on the en-vironment, while in major land reclamation projects that exceed 50 hec-tares, and those land reclamation requiring special considerations for environmental conservation, the responsible minister is to seek the opinion of the Director-General of the Environment Agency on whether a permit for land reclamation should be given. In FY 1995, a study was conducted on land reclamation inside Shimonoseki Harbor and else-where, and the necessary opinions were given.
(iii) Location of power plants
In planning the location of power plants, environmental impact assessment is conducted based on the decision within the Ministry of In-ternational Trade and Industry. Survey deliberations in the Electric Power Development Coordination Council also include studies in envi-ronmental conservation based on the environmental inspection results conducted by the Ministry of International Trade and Industry.
The Power Source Development Coordination Council met three times in FY 1995 and conducted the necessary coordination in the plan-ning for Ohzaki Thermal Power Plant No.1, Okumino No.2 Hydroelec-tric Power Plant, and others.
(iv) City planning for urbanized districts
City planning of urbanized districts, as based on the City Plan-ning Law, requires seeking in advance the opinion of the Director-General of the Environment Agency, and the necessary coordination was also conducted in FY1995, from the viewpoint of forestalling envi-ronmental pollution.
(3) Efforts in Local Public Authorities
Efforts for environmental impact assessment are also being un-dertaken by the local public authorities, together with authorities among the prefectures and government ordinance-designated cities that had enacted ordinances in regard to environmental impact assess-ment as of the end of December 1995. These six local governments are Hokkaido, Saitama Prefecture, Tokyo Metropolis, Kanagawa Prefecture, Gifu Prefecture, and Kawasaki City. A total of 44 local governments had introduced guidelines at this time.
4. Promotion of Comprehensive Surveys and Research
To determine the future mode of the environmental impact as-sessment system, the relevant ministries and agencies have joined to-gether to promote surveys and research into the state of implementa-tion of environmental impact assessment system, both at home and abroad, and, based on those results, are making the necessary adjust-ments and including new legislation. The surveys and research are comprehensive coverage of the state of content, background, operating conditions, and technical methods of the environmental impact assess-ment systems of the national government, the local public authorities, and foreign countries.
Efforts have been made for many years to improve the develop-ment and accuracy of the technical methods for environmental impact assessment, and surveys and research into topics related to the jurisdic-tions of the various relevant ministries and agencies continued to be promoted in FY1995, as well.
Section 2. Regulatory Measures
In the area of air pollution countermeasures, the Air Pollution Control Law was revised in April 1995 to go along with the continuing application of regulations to factories, project sites, and automobiles, thus introducing new regulations for automobile fuel quality. In addition, the allowable limits for automobile exhaust gas volumes were revised to strengthen exhaust gas regulations for certain diesel fuel vehicle mod-els for 1997 and 1998. Also, the bill for partial revision of the Air Pollu-tion Control Law was presented to the 136th Diet in March 1996, for the purpose of introducing exhaust gas regulations for motorcycles and regulations against flying asbestos caused by the dismantling of old buildings. For countermeasures against offensive odors, the Offensive Odor Control Law was revised in April 1995 to introduce an index for noxious odors that utilizes people's sense of smell to implement regula-tions that more closely conform to reality. To combat noise and vibra-tions, extant regulations for factories and other facilities are being im-plemented. Moreover, measures taken to protect the ozone layer in-cluded restrictions on the production of CFCs etc., for the purpose of their elimination, and their complete destruction.
In the area of water pollution countermeasures, comprehensive and planned lakes and reservoirs water quality conservation measures, which include policies based on the "Law concerning Special Measures for Conservation of Lake Water Quality," are being promoted, as w 11 as comprehensive measures for the smooth implementation of restriction on total pollutant load in Tokyo Bay, Ise Bay, and the Seto Inland Sea. And to further promote countermeasures against eutrophication in sea areas, environmental quality standard category designations concern-ing nitrogen and phosphorus have been implemented.
Furthermore, on the subject of preservation of the natural envi-ronment, policies responsive to the characteristics of the natural envi-ronment are being promoted, based on the "Nature Conservation Law" and the "Natural Parks Law," while conservation policies for wildlife and other life forms are undergoing comprehensive promotion based on the "Law for the Conservation of Endangered Species of Wild Fauna and Flora."
Section 3. Economic Measures
1. Economic Assistance
(1) Environmental Conservation Projects Assistance
A. Assistance by the Japan Environment Corporation
(A) Operations of the Japan Environment Corporation
The Japan Environment Corporation was first established as the Environmental Pollution Control Service Corp. in October 1965 in accor-dance with the Environmental Pollution Control Service Corporation Law. Its major objective was to resolve industrial pollution problems such as air and water pollution, which was becoming a serious problem as a result of the high level of Japan's economic growth in the late 1950s. Ever since, the Corporation, acting as a specialist assistance institution for pollution control, actively provided assistance for pollution control measures adopted by project developers, etc.
Later, revision to the law in May 1992, taken in response to changes in the major topics of environmental administration, resulted in a re-evaluation of projects and in the commencement of environmental conservation projects that went beyond mere pollution control during the development of group facility districts in national and quasi-national parks. The name was also changed at this time to the "Japan Environ-ment Corporation."
With another revision to the law in May 1993, the Japan Environ-ment Corporation established the "Japan Fund for Global Environ-ment" for support of global environmental conservation activities con-ducted by private-sector groups.
a. Construction and Transfer Program
Construction and transfer program can be broadly classified into (i) group factory (factory complex) facilities, (ii) buffer green belts ,(iii) green parks to abate air pollution, (iv) industrial waste disposal facilities and green parks, and (v) composite facilities at national and quasi-national parks. The Corporation takes projects from developers seeking to establish the above kinds of facilities, and executes all aspects of the projects that have to do with construction. The completed facility is then transferred with its construction costs under long-term, low-interest conditions.
b. Financial Loan Programs
Loan projects refers to funding provided by the Corporation for projects where financing is needed for the expense of establishing such facilities as (i) industrial pollution control facilities, (ii) industrial waste disposal facilities, (iii) urban soil pollution and groundwater pollution control projects, and (iv) combination disposal and purification tanks, and to funding provided to people who either establish such facilities or who execute the projects.
c. Operations for Conservation of the Global Environment
The Corporation's responses to global environmental problems include (i) use of the Corporation's accumulated information and tech-nological knowledge to implement overseas environmental information service projects that provide relevant institutions in both Japan and abroad with materials useful for environmental conservation in develop-ing country regions, and (ii) use of the Japan Fund for Global Environ-ment to provide assistance for the activities of private-sector groups in-volved in global environmental conservation, and to implement other support projects.
(B) Operations in FY 1995
In FY 1995, project planning (value of new contracts) totaled 91 billion yen (46 billion yen for construction transfer ventures and 45 bib lion yen for loan ventures). In addition, the Japan Environment Corpora-tion contributed 1 billion yen for implementation of global environ-mental conservation projects and reserved 800 million yen as an Japan Environment Corporation subsidy.
B. Other Financial Loans Provided by Government Related Organizations
(A) Loans Provided by the Fund Financing System for Small Business Modernization
The funding system for modernization of facilities, based on the "Law on Financial and Other Assistance for Small Business Moderniza-tion," provides financing via the prefectural governments for individual small businesses for the purpose of promoting modernization of small business facilities. One part of these activities is financing for pollution control facilities (limited to facilities specifically stipulated in notifica-tions). There is also a facility loan system for funneling loans to small-scale business people from loan institutions established by prefectural governments.
(B) Loans Provided by the Smaller Business Finance Corp., the People's Finance Corp., and the Okinawa Development Finance Corp.
Financing includes special loans for industrial pollution control fa-cilities from the Smaller Business Finance Corp., the People's Finance Corp., and the Okinawa Development Finance Corp., as well as special loans for relocation of small business factories for resolving over conges-tion of building and preventing pollution.
(C) Loans Provided by the Small Business Promotion Corp.
The Small Business Promotion Corp.'s advanced financing sys-tem provides long-term, low-cost financing to small businesses engaged in projects that contribute to the advancement of the small business structure. Examples of projects receiving financing include projects for transferring factories to concentrated factory sites to eliminate the problem of mixed residence-factory occupancy, or projects where small business associations create joint pollution control and disposal facilities.
(D) Loans Provided by the Japan Development Bank
Financing is provided for the maintenance or improvement of en-vironmental standards through development of pollution control facili-ties, waste countermeasure facilities, urban environment development projects, and environment-related technology development.
(E) Loans Provided by the Hokkaido-Tohoku Development Corp.
Financing is provided for the development of pollution control fa-cilities, in order to maintain the environmental standards desirable for the Hokkaido and Tohoku regions.
(F) Loans Provided by the Agriculture, Forestry and Fishery Finance Corp.
To prevent environmental pollution arising from livestock opera-tions, and to assist the development of a highly productive livestock in-dustry, funds from the Agriculture, Forestry and Fishery Finance Corp.. that are related to environmental conservation of livestock operations are being used for the development of livestock waste disposal facilities deemed necessary for environmental conservation policies in response to local and business conditions, and to the actual conditions of environ-mental pollution.
(G) Loans Provided by the Metal and Mining Industries Corp. of Japan
Financing is provided for project owners who require funding for mining pollution control projects related to depleted mining facilities, based on the "Special Measures for Mine Damages Caused by the Metal Mining Industries," and who have financial burdens related to invest-ment in the Mining Pollution Control Corporation Fund and to the "Law Concerning Entrepreneurs Bearing the Cost of the Public Pollution Con-trol Works."
(2) Tax System Measures
The following tax system measures were adopted in FY 1995.
A. National Taxes
(A) On facilities for pollution control (such as facilities for dealing with ash and smoke, or facilities for water quality), large corporations were limited, in principle, to targeting those facilities that could satisfy certain performance standards, while the period of applicability for spe-cial depreciation measures was extended.
(B) The period of applicability for special depreciation measures was extended for special CFC emission control and collection facilities.
(C) Special tax treatment for the purchase transfer of assets was adopted for when special facilities, which are located within districts that have been designated under special measures laws for the preser-vation of water quality so as to prevent blockages of special irrigation channels in water courses, water sources, and water districts, are trans-ferred outside those districts.
(D) The period of applicability for special depreciation measures re-lated to facilities for waste material recycling (construction waste recy-cling and processing equipment, empty can sorting and pressing equip-ment, and foreign object removal equipment for glass shard processing) was extended.
(E) For cases where land or other assets are purchased for the de-velopment of special facilities related to industrial waste disposal, the re-quirement that relevant companies work within special peripheral de-velopment districts, based on laws for promotion of special facilities re-lated to industrial waste disposal to promote establishment of controlled final disposal sites for handling shredder dust, was abolished.
(F) The period of applicability was extended for special depreciation measures related to core facilities built up in development districts based on the Act concerning the Development of Osaka Bay Area.
B. Local Taxes
(A) Automobile tax and subcompact automobile tax abatements were abolished for low-pollution vehicles (electric vehicles, natural gas vehicles, methanol vehicles, and hybrid vehicles), and abatement tax rates for automobile acquisition taxes were expanded.
(B) The period of applicability for enterprise tax abatements relat-ing to facilities involved with registered waste recycling businesses was extended, as was measures for exemption from the special land use tax.
2. Economic Burdens
To determine specific measures for economic burdens that should be assumed to reduce the burden on the environment, the Envi-ronment Agency set up research associations of learned academics to pursue studies into application examples of how effective certain activi-ties, such as restricting carbon dioxide emissions in the interests of pre-venting global warming, measures to prevent urban and residential pol-lution, restrictions on wastes, etc., would be for environmental conserva-tion, and what effect this would have on the national economy and on foreign countries. In addition, to gain the understanding and coopera-tion of the people, the agency invited OECD officials to symposiums on the role of economic measures as global warming measures.
Section 4. Environmental Infrastructure Improvement
1. Cycles
(1) Atmospheric Environment
A. Green Buffer Zones
The Ministry of Construction provides assistance for develop-ment of green buffer zones as one of the urban park projects. In FY 1995,green areas were developed at project costs of 9)1. billion yen to prevent and moderate pollution effects, to conserve roadside environ-ments along major highways, to prevent air pollution (green areas for air pollution countermeasures), and to build unified industrial waste dis-posal facilities (unified green areas for industrial waste disposal).
(2) Conservation of Water Environment
A. Assurance of a Sound Water Cycle
(A) Forest Conservation
Based on the "Forest Development Project Plan," we actively promoted diversified forests with high water-retention capabilities through the nurturing of multilayer forests and of natural forests, and treated drainage basins as single units for the group-oriented, planned and organized promotion of afforestation and development operations.
Moreover, based on the "Afforestation Project Five-Year Plan," we promoted the spatial and comprehensive development of forests in important water resource districts as "green dams," for the purpose of filling out and strengthening forests' water resource cultivation capabili-ties, and of conserving the national land, and planned water resource district development projects in 440 locations for implementation of for-est development to assure water resources for community residential purpose&.
(B) Environmental Conservation Policies Closely Related to Waterside Environment Conservation Activities
We actively promoted the development of watercourses and other waterside environments familiar to the people, through such envi-ronmental protection plans as the Subsidies for Familiar Waterside En-vironment Restoration Project Costs (project costs of 450 million yen).
(C) Clean-up Measures for Rivers, etc.
For projects related to improvement of river water environ-ments, the Ministry of Construction conducted the River Environment Development Project, including such operations as sludge dredging, in-troduction of purification water, and direct purification of river water. Other projects include the Flow Conservation Watercourse Develop-ment Project. which attempts to separate polluted water from pure water for appropriate conservation of water flow, the Lakeside Town Development Project, which unifies dredging of sludge in lakes with en vironmental work on lake surroundings, and the Dam Reservoir Water Quality Conservation Project and the Special Reservoir Drainage Dis-trict Development Project, which prevent or lessen the impact of tur-bidity and the eutrophication phenomena in dam reservoirs. And in heavily polluted rivers, communities and local resident groups have joined together to place priority on river and sewage system projects, based on the Emergency Action Plan for Improvement of Water Envi-ronments, and are also engaged in clean-up projects for drainage areas in the Special Project for Comprehensive Purification Measures.
Elsewhere, other river condition improvements that are actively being undertaken include six new dam construction projects under the jurisdiction of the Ministry of Construction, as well as a total of 299 other projects, including Dam Projects for Water Environment Meas-ures, for the purpose of assuring water for purification and other envi-ronmental uses.
In addition, among the watercourses familiar to the people in dis-tricts targeted for residential wastewater countermeasures under the Water Pollution Control Law, clarification cleaning facilities have been developed in 15 communities where pollution due to domestic wastewa-ter is particularly severe.
B. Reducing Burdens at Each Stage of Water Use
(A) Sewerage Works Projects
a. Sewerage Works Projects
Sewerage works projects play a variety of roles in improving ur-ban amenities, through improvement of the living environment, preser-vation of water quality in rivers, lakes, and other public joint-use water areas, and reutilization of treated water. Tn Japan, however, sewage works development remains far behind other developed countries in Europe and North America, with just 51% of the total population served by sewage lines at the end of FY 1994.
FY1995 as the final year of the Seventh Five-year Sewerage Sys-tern Development Program (total expenditure of 16.5 trillion yen), ef-forts are being focussed on development of sewerage systems in me-dium and small size municipalities whose facilities lag behind those of other areas and where services are yet to have started. Beginning with the active introduction of advanced wastewater treatment for the con-servation of water quality improvement of the systems in large cities, and the multi-purpose utilization of sewerage resources and energies were also promoted.
Specifically, total project costs for the year, including special pro-jects for emergency sewerage works development, were 3.1634 trillion yen, including promotion of public sewerage works (1,349 continuing sites and 42 new sites), drainage area sewerage works (119 continuing sites and two new sites), urban sewerage works (263 continuing sites and 16 new sites), special public sewerage works (two continuing sites), and special public sewerage works for environmental conservation (706 continuing sites and 110 new sites). Water cycle and reclamation model projects were also promoted, as well as the adoption of various plans, in-cluding the Basic Plan for Advanced Treatment of Special Water Dis-tricts.
b. Comprehensive Plan for Sewerage Works Development by Drainage Area
Survey funds totaling 189 million yen have been allocated to pro-mote adoption of sewerage works development plans by drainage area.
c. Technology Development and Survey Research
Sewerage works project survey costs were 777 million yen, for basic policies and rationalization of sewerage works development plans. Furthermore, pollution control investment research conducted at na-tional government institutions included research into the establishment of advanced treatment technologies for treated sewage and into tech-nologies for converting sewage sludge into usable resources.
d. Japan Sewage Works Agency
This agency engages in construction of final treatment plants, by request from local public authorities, and also trains sewerage works technicians, provides technical certification, and conducts sewerage works technology research and experimental research.
The agency is also involved in inter-jurisdictional sewage and sludge treatment project (Ace Plan) for collection and treatment of sew-age and sludge over wide areas, which utilizes government budget funding,. Projects are in progress in the Hyogo region, the northeast Osaka region, and the south Osaka region.